

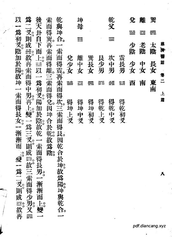
二卷。孙子云撰。孙子云民国人,生卒年不详。生平履历不详。成书于1924年。本书为孙氏“平日讲医余谈,门人所窃闻而手志者”。卷一阐述学医首要在读《本经》、《内经》,认为全属脾胃,病者皆由土而生,土不生金,金不克木,故治病当先以治胃养肺和肝为主;继载三十余种内科杂证的病因机制及简易疗法。卷二为孙氏讲义,载《本经》、《内经》二经注解摘要、阴阳五行、脏腑八卦与防病治病之关系,并以问答形式对三十多种病证设论辨难,既究病源,兼评治法。现存1924年、1927年北京实善社排印本。
慈济医话.pdf:
https://url19.ctfile.com/f/44710119-1503609934-39e569?p=2000
(访问密码: 2000)